تولید انرژی فتوولتائیک از سلول های خورشیدی تحت تأثیر شرایط خارجی مانند سایه جزیی ناشی از ساختمان ها، تیرها و ستون ها، جسد پرندگان و کثیفی پانلهای PV قرار دارد.
سایه جزئی، بیشترین اثر در کاهش توان خروجی آرایه سلول های خورشیدی را دارا می باشد. از سوی دیگر، اگر یک سیستم آرایه ای که متشکل از چندین سلول به هم وصله شده است، دارای فقط یک ماژول معیوب باشد، تولید انرژی به شدت تحت تأثیر قرار می گیرد.
به عنوان مثال فرض کنید که 10 سلول خورشیدی با یکدیگر سری شده اند. بنابر قواعد کیرشهف در این حالت ولتاژ خروجی برابر مجموع ولتاژ تک تک سلول ها است. جریان خروجی تمام سلول ها با هم برابر و به اندازه جریان سلولی است که کمترین جریان خروجی را تولید می کند. واضح است که در این حالت، اگر یکی از سلول ها آسیب ببیند یا سایه ای بر روی آن بیفتد جریان آن به شدت افت پیدا کرده و در نتیجه جریان خروجی ناشی از 10 سلول سری بسته شده، نیز به شدت افت می کند.
برای رفع این مشکل می توانیم سلول ها را به طور موازی ببندیم. در این وضعیت بنابر قوانین کیرشهف، جریان خروجی کل برابر مجموعه جریان تک تک سلول ها می باشد و در اثر آسیب دیدن یا سایه بر روی یک سلول، جریان کل دیگر مانند حالت قبل با افت شدیدی مواجه نمی شود، بلکه فقط به اندازه جریان تولیدی همان یک سلول کاهش پیدا می کند. اما ولتاژ خروجی در این حالت برابر کمترین ولتاژ خروجی از سلول ها می باشد. یعنی اگر یکی از سلول ها خراب شود یا سایه بر روی آن بیفتد، ولتاژ خروجی کل ناشی از 10 سلول موازی، به شدت افت خواهد کرد.
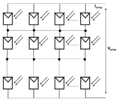
با توجه به نکات گفته شده، آرایه های فتوولتائیک (سلول خورشیدی) عموماً در یک توپولوژی سری موازی ((SPبه هم متصل می شوند، جایی که ابتدا، پانل ها جداگانه به صورت سری به هم وصل شده تا یک رشته PV را تشکیل دهند. سپس چندین رشته به صورت موازی برای تشکیل آرایه به یکدیگر متصل می شوند. یک توپولوژی SP معمولی در شکل زیر نشان داده شده است
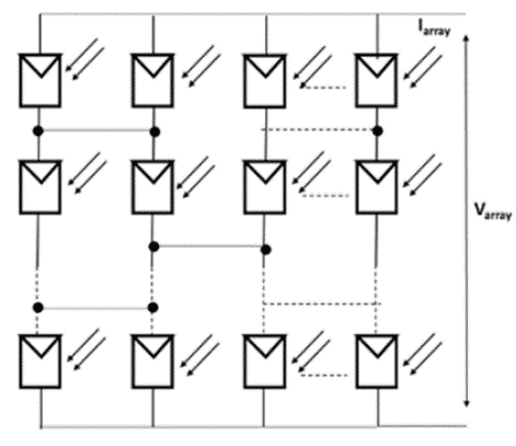
علاوه بر توپولوژیSP معمولی، ماژولهای PV همچنین میتوانند به صورت متقاطع به یکدیگر متصل شوند که اگرچه به اتصالات اضافی بین ماژولها نیاز دارند، اما در شرایط خاص، عملکرد بهتری نسبت به توپولوژی SP ارائه میدهد. دو نوع توپولوژی متداول دیگر عبارتند از پیکربندی کل متقاطع (TCT: Total Cross Tied) و پیوند پل (BL).
توپولوژی SP:

توپولوژی TCT:

توپولوژی BL :

در توپولوژی TCT، هر ماژول PV به صورت سری و موازی با ماژول های دیگر متصل می شود. توپولوژی BL همانطور که در شکل زیر نشان داده شده است شامل نیمی از تعداد توپولوژی TCT است.
هر سه توپولوژی در نظر گرفته شده یعنی SP، TCT و BL تحت نور کامل به طور مشابه رفتار می کنند و قدرت آرایه تولید شده برای هر سه توپولوژی در این مورد یکسان است. به عبارت دیگر، نقطه حداکثر توان (MPP) و ولتاژ مربوطه (VMP) بدون سایه مشابه هستند. با این حال، هنگامی که سایه جزئی وجود دارد، یکی از توپولوژی ها می تواند بهتر از بقیه عمل کند.
مقایسه حداکثر توان برای سه پیکربندی مختلف برای شرایط سایه جزئی در شکل 3 نشان داده شده است و همانطور که مشاهده می شود PSP<PBL<PTCT


